La inteligencia artificial vuelve a protagonizar un hito inesperado, esta vez en un terreno reservado a especialistas: las matemáticas puras. Un experimento reciente con GPT-5 Pro, el modelo avanzado de OpenAI, ha mostrado que la IA es capaz de generar una prueba matemática inédita, ampliando un resultado abierto en un artículo de investigación sobre optimización convexa. Aunque la contribución no supera el trabajo final realizado por investigadores humanos, el episodio es revelador sobre el futuro de la colaboración entre humanos y máquinas en la investigación científica.
El problema: ¿cuándo es convexa la curva de descenso?
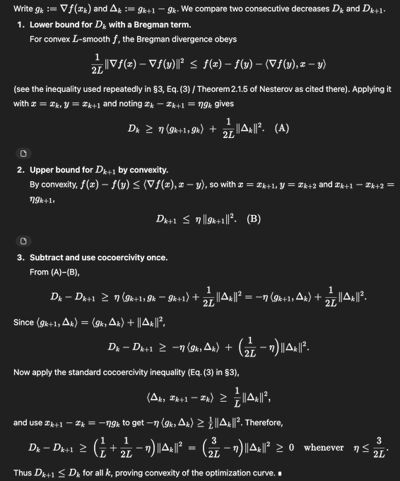
El artículo en cuestión, disponible en arXiv con la referencia 2503.10138v1, estudia una pregunta muy natural en optimización convexa:
Bajo qué condiciones sobre el tamaño de paso (η) en el algoritmo de gradient descent la curva formada por los valores de la función es convexa.
Los autores de la versión inicial del paper habían demostrado que:
- Si η ≤ 1/L (donde L es la constante de suavidad de la función), la curva es convexa.
- Si η > 1,75/L, se puede construir un contraejemplo que rompe la convexidad.
Esto dejaba un intervalo abierto y matemáticamente intrigante: [1/L, 1,75/L]. ¿Qué ocurría dentro de ese rango?
La intervención de GPT-5
Un investigador decidió someter este problema a GPT-5 Pro, con una instrucción precisa: mejorar la condición del tamaño de paso bajo las mismas hipótesis del Teorema 1, sin añadir supuestos adicionales. Tras razonar durante más de 17 minutos, el modelo respondió con una nueva prueba.
La IA logró ampliar el rango conocido, demostrando que la convexidad se mantiene para η ≤ 1,5/L. Es decir, mejoró el resultado de la versión 1 del paper, aunque sin cerrar el intervalo por completo.
Más sorprendente aún: el razonamiento no se basó en copiar pruebas existentes ni en acceder a datos en línea. Fue una construcción lógica propia, a partir de las herramientas citadas en el artículo original. El resultado se verificó posteriormente como correcto.
El desenlace humano: v2 del paper
El avance de GPT-5 llegó tarde para convertirse en un hallazgo oficial. Poco después, los autores del artículo publicaron una versión 2 (2503.10138v2) en la que, con la incorporación de un nuevo coautor, cerraban completamente el intervalo, demostrando que el límite exacto es η ≤ 1,75/L.
De esta forma, el problema quedó resuelto en su totalidad por investigadores humanos. Aun así, el episodio no resta mérito al aporte de la IA: logró un progreso intermedio genuino, situado entre el resultado original y el definitivo.
La reacción de la comunidad matemática
El matemático Ernest Ryu, experto en optimización convexa, compartió un análisis detallado en X (antes Twitter), donde matizó lo sucedido. Según Ryu, el resultado obtenido por GPT-5 es impresionante, pero no extraordinario:
- La clave del problema estaba en usar una desigualdad conocida de Nesterov (Teorema 2.1.5).
- Una vez identificada esta base, el resto era cuestión de cálculos y combinaciones, tarea ardua pero rutinaria para un doctorando especializado.
- Un estudiante de doctorado con experiencia podría haber llegado al mismo resultado en unas pocas horas.
Lo relevante, según Ryu, es que GPT-5 lo hizo con apenas 30 segundos de input humano y sin semanas de estudio. En otras palabras, no superó a los expertos, pero sí acortó drásticamente el tiempo y esfuerzo necesarios para alcanzar el avance.
¿Matemáticas nuevas o cálculos complejos?
El debate se centra en qué significa exactamente que GPT-5 haya «descubierto matemáticas nuevas». La propia frase “GPT-5 se marcó unas mates nuevas así, sin más” refleja la sorpresa inicial. Pero conviene matizar:
- No fue una teoría revolucionaria. Se trató de un refinamiento técnico dentro de un marco bien establecido.
- Sí fue un resultado nuevo, inexistente en la literatura antes de la versión 2 del paper.
- La prueba producida por GPT-5 es distinta a la de los autores humanos, lo que muestra que la IA no simplemente imitó, sino que desarrolló su propio camino.
La conclusión: GPT-5 no sustituye a la creatividad matemática humana, pero puede convertirse en un aliado que automatiza y acelera cálculos engorrosos, liberando a los investigadores para concentrarse en problemas más amplios.
Implicaciones para la investigación
Este caso deja varias lecciones para el futuro de la ciencia:
- La IA como colaborador real: GPT-5 no reemplaza al experto, pero puede ofrecer borradores de pruebas, refinar cotas o explorar caminos alternativos en cuestión de minutos.
- Un cambio en el ritmo de descubrimiento: tareas que antes requerían días de cálculos manuales ahora pueden resolverse en horas con asistencia de IA.
- El papel del humano como curador: la clave seguirá estando en plantear problemas relevantes, interpretar resultados y validar la coherencia de las soluciones.
- La frontera de la “invención”: aunque GPT-5 no descubrió una gran teoría, el hecho de aportar un resultado inédito plantea una pregunta filosófica: ¿dónde empieza y acaba la autoría matemática cuando hay colaboración entre humanos y máquinas?
¿El inicio de una nueva era?
La anécdota con GPT-5 Pro recuerda los primeros días de los ordenadores aplicados a las matemáticas en los años 60, cuando se usaban para comprobar cálculos numéricos. Hoy, las IAs avanzadas son capaces no solo de verificar, sino también de proponer y demostrar resultados, al menos en áreas acotadas.
No se trata de imaginar a la IA descubriendo sola la “próxima gran teoría”, sino de entenderla como un asistente de investigación con capacidad de sugerir avances intermedios, acelerar la validación y aportar variedad de enfoques.
Para muchos, este episodio marca un precedente: es la primera vez que un modelo de lenguaje de gran escala produce una demostración matemática válida y novedosa dentro de un paper de investigación real. Y aunque los humanos terminaron resolviendo el problema por completo, GPT-5 mostró que el camino de la colaboración apenas empieza.
Preguntas frecuentes (FAQ)
¿Qué significa que GPT-5 haya “demostrado un nuevo resultado” en matemáticas?
Significa que produjo una prueba correcta de un caso que no estaba resuelto en la literatura en ese momento. En concreto, amplió el rango de validez del tamaño de paso en optimización convexa de 1/L a 1,5/L.
¿Esto quiere decir que GPT-5 es mejor que los matemáticos humanos?
No. Los expertos ya conocían las herramientas necesarias y podían resolver el problema en unas horas. Lo destacable es que GPT-5 lo hizo rápidamente y con mínima intervención humana.
¿Cuál es la diferencia entre la prueba de GPT-5 y la de los investigadores humanos?
La prueba de GPT-5 fue una extensión natural de la primera versión del artículo, mientras que la versión 2 de los autores humanos utilizó un enfoque distinto para cerrar completamente el problema en 1,75/L.
¿Qué implicaciones tiene este caso para la investigación futura?
Refuerza la idea de que la IA puede actuar como asistente matemático, acelerando cálculos y sugerencias de pruebas, pero siempre bajo supervisión y validación humana. Puede ahorrar tiempo y abrir nuevas vías de colaboración entre matemáticos e inteligencia artificial.





